2003/11/17 出題分

(1)水位が地表面上にある Case 1 の場合、A点の応力を求めてみる。
鉛直全応力は、水も含めて各層厚と単位体積重量の積の総和となる。
式
水圧は、求める点の水深で決まる。すなわち、
式
したがって鉛直有効応力は、Terzaghiの有効応力の原理より、
式
となる。なお、水中重量γ'を用いて次のように求めても良い。
式

つづいて下層のB点の応力をそれぞれ同様に求める。
式
式
式
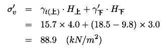
また、水中重量により
式

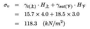
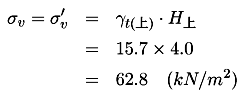
(2)水位が上層下層境界にある Case 2 の場合、
A点では水圧が作用しないので全応力=有効応力、すなわち下式となる。
式
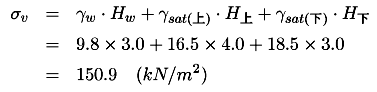
B点の鉛直全応力は、
式
間隙水圧は、水深 3.0 m 分のみなので、
式
となる。したがって有効応力は、
式
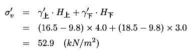
となる。また水中重量を用いると下の通りである。
式

戻る

Copyright(c) 2001-2003 HOSAKA Yoshinori All Rights Reserved.